Pojemność elektryczna

Potencjał przewodnika proporcjonalny jest do zgromadzonego na nim ładunku. Rzeczywiście, oddalanie bądź przybliżanie od/do naładowanego przewodnika innych ładunków wiąże się z wykonaniem pracy. Praca ta jest tym większa im większe jest natężenie pola w punkcie, do którego ładunek jest przemieszczany. Natężenie pola w pobliżu przewodnika proporcjonalne jest do gęstości powierzchniowej ładunku. Gęstość ta proporcjonalna jest do całkowitego zgromadzonego ładunku, ale zależy również od rozmiarów i kształtu przewodnika. Związek proporcjonalności pomiędzy ładunkiem zgromadzonym w przewodniku i jego potencjałem zapisujemy w postaci.  

(8.6.1)

Współczynnik proporcjonalności , charakteryzujący własności przewodnika, nazywamy jego pojemnością elektryczną. 

Ze wzoru (8.6.1) wynika bezpośrednio definicja pojemności elektrycznej odosobnionego przewodnika (tj. przewodnika, w którego otoczeniu nie ma innych ciał przewodzących lub nieprzewodzących)

(8.6.2)

Jeśli więc zmiana zgromadzonego w przewodniku ładunku o jednostkową wartość (1C) odpowiada zmianie jego potencjału także o jednostkową wartość (1V), to mówimy, że pojemność tego przewodnika równa jest jednej jednostce pojemności. Jest nią jeden farad (1F).

Jako przykład wyznaczmy pojemność kuli o promieniu R. W tym celu przyjmijmy, że kula ta naładowana jest ładunkiem q oraz, że nie jest pod działaniem zewnętrznego pola elektrycznego. Potencjał kuli wyznaczymy zgodnie ze wzorem (8.3.22) wykonując całkowanie w granicach od punktu na powierzchni kuli do nieskończoności, gdzie potencjał równy jest zeru. Pamiętamy, że natężenie pola od naładowanej kuli wyrażone jest wzorem (8.4.10).

(8.6.3)

Mając wyrażenie na potencjał wyznaczmy pojemność kuli na podstawie definicji (8.6.2)

(8.6.4)

Kiedy jednak przewodnik jest pod działaniem zewnętrznego pola elektrycznego jego potencjał ulega zmniejszeniu.

Można to zilustrować przykładem. Kiedy do naładowanego przewodnika A zbliżamy inne przewodniki to indukowany w nich ładunek przeciwnego znaku po stronie naładowanego przewodnika spowoduje osłabienie wytwarzanego przez ten przewodnik potencjału. Zmniejszenie potencjału przy tym samym ładunku oznacza zaś zwiększenie pojemności.

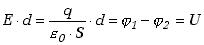
Układ przewodników o stosunkowo dużych powierzchniach położonych blisko siebie może gromadzić znaczne ładunki elektryczne. Układ dwóch przewodników mających równe różnoimienne ładunki nazywamy kondensatorem. Kształt kondensatorów jest zwykle taki, by pole skupione było pomiędzy bliskimi sobie powierzchniami, zwanymi okładkami, i było zawarte wewnątrz kondensatora.  

Rys.8.6.1.
Pojemność układu przewodników

Pojemność kondensatora wynikająca z definicji pojemności odosobnionego przewodnika (8.6.2) jako pojemność wzajemna dwóch przewodników określona jest przez ładunek gromadzony na jednej z okładek kondensatora przy danej różnicy potencjałów pomiędzy jego okładkami (całkowity ładunek gromadzony na kondensatorze to : +q +(-q)=0)

(8.6.5)

gdzie przez U oznaczyliśmy różnicę potencjałów

(8.6.6)

Zapiszmy wzór na pojemność kondensatora płaskiego złożonego z dwóch jednakowych okładek o powierzchniach równych S i odległości pomiędzy nimi równej d. Jeżeli na okładce zgromadzony jest ładunek q, to natężenie pola elektrycznego pomiędzy okładkami będzie zgodnie ze wzorem (8.5.2)

(8.6.7)

Przyjmując, że pole to jest jednorodne możemy na podstawie wzoru (2.3.22) napisać

(8.6.8)

Stąd zgodnie z definicją pojemności kondensatora (8.6.5) otrzymujemy wzór na pojemność kondensatora płaskiego

(8.6.9)

Widzimy, że pojemność kondensatora płaskiego jest tym większa im większa jest powierzchnia jego okładek oraz im mniejsza jest odległość między nimi. 

W dalszej części kursu zobaczymy, że pojemność kondensatora zależy także od rodzaju dielektryka umieszczonego między okładkami.

Kondensatory możemy łączyć na dwa sposoby: równolegle bądź szeregowo.

Równoległe połączenie kondensatorów

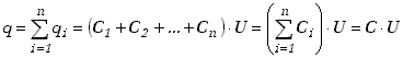
Kiedy łączymy kondensatory równolegle, jak na rysunku 8.6.2, to napięcie na wszystkich kondensatorach jest jednakowe. Ładunek zgromadzony na każdym z nich będzie natomiast zgodnie ze wzorem (8.6.5)  iloczynem pojemności danego kondensatora i przyłożonego napięcia tzn.:
Rys.8.6.2. Układ kondensatorów połączonych równolegle

(8.6.10)

Całkowity ładunek jest sumą ładunków zgromadzonych na wszystkich kondensatorach, czyli

(8.6.11)

 

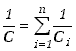
Pojemność sumaryczna kondensatorów połączonych równolegle jest sumą ich pojemności, czyli

(8.6.12)

Szeregowe połączenie kondensatorów

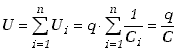
Kiedy kondensatory połączone są szeregowo, to suma napięć na nich równa jest U, a ładunek każdego z nich jest taki sam, jako rezultat rozdzielenia ładunku pomiędzy okładkami dwóch sąsiadujących kondensatorów wskutek przyłożonego napięcia. (Sumaryczny ładunek na połączonych przewodnikiem okładkach sąsiadujących z sobą kondensatorów musi być zawsze równy zeru niezależnie od przyłożonego napięcia, bo ładunek nie ma gdzie dalej przepłynąć.)  Napięcie na pojedynczym kondensatorze jest równe . Mamy więc
Rys.8.6.3. Układ kondensatorów połączonych szeregowo

(8.6.13)

Pojemność kondensatorów połączonych szeregowo wynosi więc

(8.6.14)

Pojemność ta jest mniejsza od najmniejszej pojemności w układzie, ale do takiego układu może być przyłożone wyższe napięcie, bo na pojedynczym kondensatorze napięcie jest niższe niż to, przyłożone do całego układu. 

Każdy ze sposobów połączenia może mieć więc inne zastosowanie.