2. Równania Newtona

Zasady dynamiki Newtona opisują wszelkie ruchy odbywające się z prędkościami małymi w stosunku do prędkości światła. Praktycznie, oznacza to ruch jakichkolwiek makroskopowych obiektów materialnych. Dlatego też często mechanikę opisującą ruchy ciał makroskopowych z niewielkimi prędkościami za pomocą zasad Newtona nazywamy mechaniką newtonowską. Zastosowanie prostych wzorów (3.10) i (3.10a) umożliwia zarówno wyjaśnienie skomplikowanych ruchów statków kosmicznych, jak i wiele zjawisk z życia codziennego prowadząc niekiedy do zaskakujących wniosków.

Relacja siła - przyspieszenie

 Na początek "doświadczenie", które każdy z nas wykonywał wielokrotnie - wbijanie gwoździa w kawałek drewna. Nie mamy zamiaru uczyć Cię tu wbijania gwoździ w deskę, ale chcemy - byś rozumiejąc dobrze istotę drugiej zasady dynamiki - umiał ją w przyszłości stosować w rozwiązywaniu problemów znacznie bardziej złożonych.

Domowe Laboratorium Fizyczne

Kliknij, by uruchomić pokaz. Najpierw podejmę próbę wciśnięcia gwoździa palcem - oczywiście, bez powodzenia...

Potem wbiję go bez większego wysiłku uderzeniem młotka.

Wykonuję czynność banalną, a przecież zdumiewającą.
Oszacuj wartość siły, którą działam na gwóźdź, kiedy wbijam go młotkiem w kawałek deski.

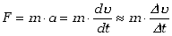
Skorzystajmy z równania wyrażającego drugą zasadę dynamiki dla przypadku ruchu młotka wbijającego gwóźdź. 
(3.21)

Założyliśmy, dla uproszczenia, że  ruch młotka wbijającego gwóźdź jest ruchem jednostajnie opóźnionym, więc wartość opóźnienia uzyskujemy dzieląc różnicę Du  prędkości początkowej u i końcowej  (zero) przez czas wbijania D t.  Weźmy dla przykładu masę młotka  m=0.5kg,  prędkość w momencie uderzenia  u0 =10m/s i zagłębienie się gwoździa 1cm. Czas wbijania będzie ilorazem zagłębienia przez średnią prędkość równą połowie prędkości początkowej, czyli Dt = 0.002s.  Mamy więc, 
(3.22)

Siła wykonanego bez trudu uderzenia półkilogramowym młotkiem trzykrotnie przekroczyła średni ciężar ciała człowieka (!). Nic dziwnego, że nie miałem szans wcisnąć gwoździa palcem. Cała tajemnica zawarta jest tu w ogromnej wartości, 5000m/s2, opóźnienia (czyli ujemnego przyspieszenia)  wynikającego z krótkiego czasu uderzenia. To dlatego przy wbijaniu gwoździa deska musi spoczywać na twardym podłożu. To właśnie dlatego spadające na kamienną posadzkę naczynia na ogół kończą stłuczeniem się. To dlatego tak tragiczne bywają skutki zderzenia samochodu z drzewem i znacznie lepiej jest "wylądować w rowie". To dlatego w konstrukcji samochodu tworzy się "strefę zgniecenia". Przykłady można mnożyć...

Układ równań Newtona

Podaliśmy już definicję ruchu jednostajnie przyspieszonego. "Ruch, w którym przyspieszenie jest stałe co do wartości bezwzględnej i kierunku nazywamy ruchem jednostajnie przyspieszonym."

Powstaje jednak pytanie - "kiedy taki ruch może zachodzić"? W jakich warunkach przyspieszenie zachowuje stałą wartość? Kinematyka nie zajmuje się poszukiwaniem odpowiedzi na te pytania. Dla znalezienia odpowiedzi musimy skorzystać z równań dynamiki.

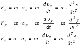
Zapiszmy równanie (3.2a) wyrażające treść drugiej zasady dynamiki pamiętając, że przyspieszenie jest drugą pochodną położenia względem czasu; wzór (2.28).
(3.23)
Wektory występujące w tym równaniu mają w przestrzeni trójwymiarowej po trzy składowe, które w układzie współrzędnych prostokątnych odpowiadają kierunkom osi układu. To równanie wektorowe w rozpisaniu na składowe w danym układzie odniesienia ma postać układu trzech równań skalarnych zwanych równaniami Newtona.
(3.24)
 Jest to układ równań różniczkowych drugiego rzędu.  Równania te są podstawowymi równaniami dynamiki. Jak wspominane było wcześniej, wiążą one przyczynę (siła) z jej skutkiem (ruch). Ich konkretna forma określona jest przez rodzaj siły, która ruch wywołuje. 

Na zajęciach z  fizyki będziemy formułować i rozwiązywać równania Newtona dla kilku ważnych przypadków sił.

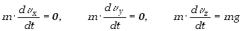
 Jak zależeć będzie od czasu położenie, prędkość i przyspieszenie ciała, które poddane jest działaniu siły o stałej wartości i kierunku? Zapiszmy równania Newtona (3.8) dla takiego przypadku . Dobieramy tak kierunki osi układu współrzędnych by nasza siła działała wzdłuż osi . Dla pełnego skonkretyzowania warunków zadania przyjmijmy, że jest to siła przyciągania ziemskiego, której postać  zadana jest wzorem (3.4) Wektor tej siły w rozpisaniu na składowe można zapisać następująco:

 
. (3.25)
Równania Newtona dla naszego przypadku możemy więc zapisać w postaci
. (3.26)
Jeżeli teraz podzielimy te równania obustronnie przez , otrzymamy znane nam już równania kinematyczne (wzór 2.42) i dalszy tryb ich rozwiązania jest taki sam jak tam podany. Rozwiązując je otrzymujemy znajome nam wzory dla rzutu ukośnego, poziomego lub pionowego, w zależności od zadanych warunków początkowych.

Uzyskaliśmy więc to samo co poprzednio. Teraz jednak powiązaliśmy przyczynę ruchu (siłę o stałej wartości działającą w kierunku do środka Ziemi) z jej skutkiem, czyli ruchem jednostajnie przyspieszonym.

Jak jednak będzie przebiegał ruch, kiedy siła nie będzie stała, a zależeć będzie od położenia ciała lub jego prędkości?  Co będzie, kiedy w czasie ruchu zmieniać się będzie kierunek siły, a co - kiedy zmieniać się będzie  masa ciała? Kilka przykładów poznamy w dalszej części naszych zajęć.