Łukasz Pošepny
Detekcja i detektory promieniowana gamma. Pomiary energii
fotonów.
Cząstki g
to promieniowanie elektromagnetyczne o energii pojedynczego fotonu większej
od kilkunastu-kilkudziesięciu keV. Detekcja promieniowania gopiera
się na kilku procesach, w których foton oddziałuje zazwyczaj z elektronem
przekazując mu część lub całą energię. Dopiero elektron podlega ostatecznej
detekcji i to jego energia kinetyczna jest rejestrowana w detektorze.
Do podstawowych efektów, w których kwanty gprzekazują
swoją energie elektronom należą zjawiska: fotoelektryczne, Comptona,
i kreacja par e+ i e-.
ODDZIAŁYWANIE PROMIENIOWANIA
g
Z MATERIĄ
Efekt fotoelektryczny
Zjawisko fotoelektryczne (zewnętrzne) znane
było już w końcu XIX wieku. Jego mikroskopowa natura została wytłumaczona
przez Einsteina w 1905 roku, a doświadczalne ilościowe potwierdzenie teorii
Einsteina zawdzięczamy Millikanowi. Zjawisko to polega na zderzeniu fotonu
z elektronem związanym w atomie. Foton przekazuje całą energię elektronowi,
który zostaje wybity z atomu, a sam foton znika. Energia kinetyczna
wybitego elektronu jest równa energii fotonu pomniejszonej o energie wiązania
elektronu w atomie. Wolne miejsce na bliskiej powłoce elektronowej jest
natychmiast zapełniane przez elektrony z wyższych powłok czemu towarzyszy
emisja promieniowania rentgenowskiego
właściwego dla każdego materiału. Suma energii kinetycznej wybitego elektronu
i wyemitowanych kwantów X daje energię pierwotnego kwantu g
. Zjawisko fotoelektryczne zachodzi tylko dla kwantów o energii większej
od energii wiązania elektronu w atomie. Przekrój czynny na zjawisko fotoelektryczne
zachowuje się jak w równaniu:
gdzie: sfotoel – przkrój czynny,
Z – liczba atomowa,
Eg - energia kwantu g
.

Jak widać powyżej przekrój czynny na zjawisko
fotoelektryczne jest duży dla małych energii kwantów g
i atomów o dużym Z. Na powyższym rysunku
pokazano przybliżony przebieg przekroju czynnego na zjawisko fotoelektryczne
w kilku pierwiastkach, widoczne są charakterystyczne progi, wynikające
ze skwantowanych energii wiązania elektronów w atomie.
Efekt Comptona
Zjawisko to zostało odkryte i wytłumaczone
przez A.H.Comptona w 1923 roku. Jego przebieg jest schematycznie przedstawiony
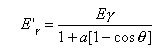
na poniższym rysunku. Foton o energii Eg
zderza się sprężyście z

elektronem swobodnym. Zastosowanie do takiego zderzenia praw zachowania
energii i pędu prowadzi do zależności łączącej kierunek i energię rozproszonego
fotonu z energią fotonu pierwotnego.

gdzie: E’g - energia rozproszonego fotonu, Eg-
energia padającego fotonu,
q- kąt rozproszenia
fotonu,
a – energia padającego fotonu wyrażona
w energii odpowiadającej masie elektronu: a=Eg/m0c2,
m0 – masa elektronu, c- prędkość
światła.
Z uwagi na to, że funkcja cosinus przyjmuje
wartości od –1 do 1 energia rozproszonego fotonu może mieć maksymalną wartość
równą energii fotonu pierwotnego dla rozproszenia pod kątem 0°
, minimalna zaś, dla rozproszenia do tyłu nie jest równa 0, lecz np. dla
fotonów o energii 511keV wynosi 170keV. W związku z tym energia rozproszonych
elektronów, (która jak wspomniałem we wstępie jest deponowana w detektorze)
jest z przedziału od 0 do pewnej granicznej wartości (dla 511keV jest to
ok. 341keV). Z punktu widzenia detekcji promieniowania g
jest to podstawowa różnica pomiędzy opisanym powyżej zjawiskiem fotoelektrycznym
, gdzie deponowana była cała energia fotonu. Poniższy rysunek przedstawia
teoretyczne widmo energii kinetycznej elektronów pochodzących z jednokrotnego
rozproszenia komptonowskiego fotonów o energii 511keV z charakterystycznym
progiem.

W latach czterdziestych Klein i Nishina stworzyli ilościową
teorię zjawiska Comptona opartą o elektrodynamikę kwantową. Jednym z jej
wyników jest formuła na różniczkowy przekrój czynny na rozproszenie fotonu
na elektronie pod kątem q
w efekcie Comptona (foton i elektron są niespolaryzowane):
Scałkowanie powyższego wzoru po pełnym
kącie bryłowym daje całkowity przekrój czynny w zależności od energii.
Poniżej pokazane są zależności przekroju czynnego na efekt Comptona na
atomach różnych pierwiastków.

Przekrój czynny na rozpraszanie komptonowskie jest proporcjonalny
do liczby atomowej i dominuje on nad innymi procesami dla lekkich pierwiastków
i średnich energii.
Kreacja par
Przy dostatecznie dużej energii kwantu
g(większej
od 1022keV) do omówionych powyżej zjawisk
dochodzi kolejne: kreacja pary. Polega ono na wytworzeniu z kwantu gdwóch
nowych cząstek: elektronu i pozytonu. Energie kinetyczne powstałych cząstek
są takie same i wynoszą:
Dalszy przebieg zjawiska jest zazwyczaj
następujący: elektron deponuje swoją energię kinetyczną w procesach takich
jak jonizacja, promieniowanie hamowania, efekt Czerenkowa a pozyton (po
zdeponowaniu całej energii kinetycznej) anihiluje z jednym ze swobodnych
elektronów na dwie

cząstki g
. Efekt nie łamie zasad zachowania liczb kwantowych: leptonowej, ładunkowej,
momentu pędu, itd. Ale proste rachunki pokazują, że aby zachować na raz
zasady zachowania energii i pędu musi się odbywać w zewnętrznym polu elektrycznym
np. jądra lub elektronu. Efekt ten został “przewidziany” teoretycznie przez
Diraca w 1928 roku jako wyjaśnienie dla “niefizycznych”
– z ujemną energią – rozwiązań jego równania. Dokładniejsza analiza zjawiska
tworzenia par pozwoliła na wyprowadzenie zależności opisującej asymptotyczne
zachowanie przekroju czynnego na to zjawisko na atomie:
gdzie: sp – przekrój czynny na wytworzenie
pary, Z – liczba atomowa, a-
stała struktury subtelnej, re
– klasyczny promień elektronu e2/(m0c2),
Eg - energia fotonu pierwotnego.
Rozpraszanie Rayleigh’a
Rozpraszanie Rayleigh’a jest jednym z tych
rodzajów oddziaływania fotonów z materia w których foton nie zmienia swojej
energii (nie jest ona przekazywana, bo foton rozprasza się elestycznie).
Pomimo bardzo małego przekroju czynnego na to zjawisko, w zasadzie zerowego
dla energii większej niż 1000keV, ma on jednak bardzo duże znaczenie dla
ilościowych obliczeń wydajności z użyciem
kolimatorów.
DETEKTORY PROMIENIOWANIA g
Historycznie pierwszymi detektorami promieniowania g
były
detektory gazowe, po nich klisze jądrowe. Obecnie w fizyce jądrowej i astrofizyce
wysokich energii podstawowymi typami detektorów są detektory scyntylacyjne
i półprzewodnikowe.
Detektory gazowe
Liczniki Geigera-Müllera
Należą do grupy liczników gazowych. Ich
zasadniczymi częściami są: cylindryczna katoda i przeciągnięta wzdłuż jej
osi metalowa nić (o średnicy 0,075 lub 0,1mm zwykle wykonany z wolframu),
stanowiąca anodę. Elektrody te są umieszczone w hermetycznie zamkniętym
naczyniu, wypełnionym gazem (Ar, Ne, H) pod ciśnieniem ok. 133-265hPa.
Takie kształty elektrod pozwalają uzyskać między nimi silnie niejednorodne
pole elektryczne z największym natężeniem
przy anodzie.

Promieniowanie jądrowe powoduje jonizację
gazu między elektrodami licznika. Elektrony powstające w wyniku jonizacji
są przyspieszane w silnym polu elektrycznym i uzyskują dostateczną energię
aby wywołać dalsze akty jonizacji i wzbudzenia cząstek gazu. W wyniku lawinowo
rozwijającego się procesu jonizacji do anody podąża coraz większa liczba
elektronów. W procesie rozwoju wyładowania istotną role odgrywają fotony
promieniowania ultrafioletowego wzbudzonych
cząstek gazu. Wskutek bowiem zjawiska fotoelektrycznego szczególnie zachodzącego
na katodzie, pojawiają się następne elektrony zapoczątkowujące kolejne
lawiny elektronowe podążające ku anodzie. W procesie tym narasta również
liczba jonów dodatnich, które jako
znacznie cięższe od elektronów poruszają się o wiele wolniej i tworzą w
gazie ładunek przestrzenny. Jego obecność zmniejsza natężenie pola elektrycznego
w obszarze miedzy anodą i chmurą jonów przesuwającą się w kierunku katody.
W wyniku tego wyładowanie zanika. Jednakże
jony dodatnie po osiągnięciu katody wybijają z niej elektrony i jeżeli
tylko dodatni ładunek z katody zostanie dostatecznie szybko odprowadzony,
lawiny elektronowe zaczną rozwijać się od nowa. W ten sposób wyładowanie
w liczniku jest stale podtrzymywane
i licznik nie może rejestrować następnych cząstek promieniowania jądrowego.
Istnieje parę sposobów powstrzymywania wyładowania ciągłego w liczniku.
Jednym z nich jest włączanie w obwód licznika dostatecznie dużego oporu
R rzędu 109W.
Tak duży opór nie pozwala na szybkie odprowadzanie ładunku ujemnego z anody
co obniża jej potencjał aż do chwili, gdy jony dodatnie zostaną zebrane
na katodzie. To wystarcza aby elektrony wybite przez jony nie wywołały
nowych lawin. Prowadzi to do wygaśnięcia
wyładowania. Po czasie rzędu setnej części sekundy ładunek z anody zostaje
odprowadzony, a licznik jest zdolny do zarejestrowania kolejnej cząstki.
Inny sposób gaszenia wyładowań polega na wypełnieniu licznika gazami (wspomnianymi
we wstępie) z domieszką gazów lub par
o cząsteczkach wieloatomowych (metan, etan, pary alkoholu). Przy odpowiedniej
proporcji domieszki wyładowania po pewnym czasie wygasają same. Gaszenie
następuje dzięki silnemu pochłanianiu promieniowania ultrafioletowego przez
te cząstki oraz dzięki temu, że jony
tych cząstek nie wybijają elektronów z katody (jony gazu podstawowego nie
docierają do niej). Licznik z domieszką gazu o cząsteczkach wieloatomowych
nazywa się samogaszący.
Licznik Geigera-Mullera stosuje się wyłącznie
do rejestracji cząstek.
Detektory scyntylacyjne
Rozwój detektorów scyntylacyjnych został zapoczątkowany
w 1947r. przez Coltmana i Marshalla. Szczegóły działania detektorów scyntylacyjnych
są dość złożone i różne dla różnych typów scyntylatorów, można je przedstawić
następująco. Cząstka g
przechodząc przez scyntylator wybija elektrony. Te z kolei jonizują i wzbudzają
napotkane na swojej drodze cząstki scyntylatora. W procesach deekscytacji
cząstki wyświetlają światło w ilości proporcjonalnej do energii pierwotnego
kwantu g.
O ile scyntylator jest przeźroczysty dla światła, można je zarejestrować
na zewnątrz. Do rejestracji błysków wykorzystuje się urządzenia zwane fotopowielaczami
(zamieniają one błyski światła na prąd elektryczny). Można je traktować
jako połączenie fotokomórki ze wzmacniaczem elektronowym. Fotokatoda w
fotopowielaczu jest napylona w postaci półprzeźroczystej warstwy na wewnętrznej
stronie okienka szklanej bańki próżniowej. Elektrony wybite z fotokatody
przez padające na nią fotony są przyspieszane i
skierowane przez pole elektryczne na elektrodę zwana pierwszą dynodą. Wskutek
zjawiska wtórnej emisji, każdy elektron wybija z dynody po kilka elektronów,
które z kolei są skierowywane na następną (w fotopowielaczu znajduje się
ich kilka lub kilkanaście). Zjawisko
wtórnej emisji elektronów na kolejnych dynodach o coraz wyższych potencjałach
prowadzi do progresywnego narastania strumienia elektronów. W wyniku tego
jeden elektron wybity z fotokatody powoduje, że do ostatniej elektrody
zwanej anodą dociera od 105 do 109
elektronów w zależności od liczby dynod i różnicy potencjałów między nimi.
Potencjały dynod są ustalane przez dołączenie ich do dzielnika napięcia.
Elektrony zbierane na anodzie fotopowielacza są odprowadzane przez opór
anodowy. Zmiany potencjału anody wywołane impulsowymi strumieniami elektronów
przekazywane są do elektronowej aparatury wzmacniającej i rejestrującej.
Reasumując, można przedstawić w skrócie
zjawiska zachodzące w scyntylatorze:
-
Absorpcja promieniowania jądrowego w scyntylatorze
powoduje wzbudzenie i jonizację
-
Przetwarzanie energii rozproszonej w scyntylatorze
na energię świetlną, dzięki procesowi luminescencji.
-
Przejście fotonów świetlnych do fotokatody
powielacza fotoelektronowego
-
Absorpcja fotonów światła na powierzchni fotokatody
i emisja fotoelektronów
-
Proces zwielokrotnienia liczby elektronów
we wnętrzu powielacza
-
Analiza impulsu prądowego dostarczonego przez
powielacz dokonująca się w dalszych stopniach układu elektronicznego.
Połączenie przez optyczny kontakt scyntylatora
z fotopowielaczem tworzy licznik scyntylacyjny. Całość zamknięta jest w
światłoczułej osłonie, w której znajduje się także dzielnik napięcia.
Zaletami detektorów scyntylacyjnych są
:
-
bardzo krótkie czasy reakcji,
-
duża wydajność (stosunek liczby zarejestrowanych
fotonów do wszystkich przechodzących przez detektor),
-
relatywnie niskie koszty.
Podstawową wadą natomiast słaba zdolność rozdzielcza
(zazwyczaj definiowana jako stosunek szerokości linii widmowej w połowie
wysokości linii do położenia jej centrum), średnio wynosząca 10%.
Do detekcji promieniowania g zazwyczaj
są używane scyntylatory nieorganiczne (duża gęstość, połączona z duża liczbą
atomową części składników). Są one kryształami soli nieorganicznych głównie
haloidkami metali alkalicznych, zawierającymi małe domieszki ciał obcych,
działających jako aktywatory w procesie luminescencji. Spośród scyntylatorów
nieorganicznych zawierających domieszki można wymienić jodek sodu z talem
NaJ(Tl), jodek litu z cyną LiJ(Sn) oraz siarczek cynku ze srebrem
ZnS(Ag). CsJ(Na) i CaF2(Eu) – mają
bardzo dobre własności w zakresie niskich energii promieni g.
Na poniższym rysunku przedstawiam opisany
przez Bella hermetycznie zamknięty blok ze scyntylatorem NaJ(Tl), otoczonym
warstwą MgO odbijającą światło. Obudowa ma szklane okienko przepuszczające
światło w kierunku fotokatody.
1. – scyntylator NaJ(Tl)
2. – fotopowielacz
3. – zakładka uszczelniona
4. – reflektor z a -Al2O3
5. – pudełko z aluminium o grubości 0.13mm
6. – połączenie optyczne
7. – uszczelka z apiezonu
8. – taśma izolacyjna
9. – igła podskórna (do wypompowania powietrza) |
 |
Detektory półprzewodnikowe
Jeżeli gaz wypełniający komorę jonizacyjną
o płaskich elektrodach zastąpimy stałym dielektrykiem otrzymamy nowy rodzaj
detektora o bardzo korzystnych właściwościach. Podstawą działania detektora
półprzewodnikowego są procesy jonizacji wywołane przez cząstki naładowane
w warstwie styku materiałów o przewodnictwie typu n (elektronowym) i typu
p (dziurowym). Wskutek oddziaływania cząstki naładowanej przechodzącejprzez
izolator z elektronami z pasma walencyjnego część z nich zostaje przeniesiona
do pasma przewodnictwa (co jest procesem podobnym do jonizacji). Pojawienie
się nośników prądu w izolatorze spowoduje powstanie impulsu napięcia. Impuls
ten związany jest zarówno z ruchem
elektronów a paśmie przewodnictwa jak i przemieszczaniem się dziur (pozostawionych
przez elektrony) w paśmie walencyjnym, co jest równoważne ruchowi ładunku
dodatniego. Warunkiem powstania impulsu elektrycznego do pełnej wysokości
jest duża wartość iloczynu czasu życia
i ruchliwości nośników, tak aby w czasie swego życia zdołały one dotrzeć
do okładek kondensatora (przeszkadzają w tym procesy rekombinacji). To
oraz mała odległość pomiędzy pasmami stanowią warunki jakie musi spełniać
materiał nadający się do konstrukcji
detektora.
Styk taki, materiałów o przewodnictwie
typu n i p, zwany złączem, ma właściwości prostownicze (to znaczy przepuszczająca
prąd tylko w jednym kierunku). Detektor półprzewodnikowy jest w zasadzie
diodą półprzewodnikową ze złączem zaporowym typu p-n (n-p), położonym tuż
przy powierzchni.
Aby licznik mógł dobrze spełniać swoje
zadanie, warstwa czuła musi być wytworzona bezpośrednio w pobliżu powierzchni
licznika, tak aby cząstka w niej właśnie traciła swoją energię. Uzyskać
to można w różny sposób i odpowiednio do tego rozróżniamy trzy typy detektorów
półprzewodnikowych:
-
detektory z barierą powierzchniową,
-
detektory typu dyfuzyjnego,
-
detektory dryfowe – najlepiej nadają
się do detekcji promieniowania g- metoda
zaproponowana przez Pella w 1960 roku, polega
na kompensowaniu zanieczyszczeń określonego typu przez wprowadzone do pewnej
objętości półprzewodnika atomy kompensujące. Najczęściej stosowana metoda
polega przy tym na wdryfowaniu przyłożonym napięciem elektrycznymdonorów
jonów litu do krzemu lub germanu typu p posiadających zanieczyszczenia
akceptorowe. Technicznie proces ten przeprowadza się w ten sposób, że najpierw
na oczyszczoną powierzchnie półprzewodnika typu p napyla się warstewkę
litu, a następnie w podwyższonej temperaturze rzędu 400-500oC
wdyfundowuje się ten lit na głębokość rzędu kilkuset um, otrzymując
normalne złącze typu n-p. Jeśli następnie w temperaturze 130-150oC
przyłożymy do tego złącza napięcie rzędu kilkuset Voltów tak skierowane,
aby od strony litu potencjał był dodatni to uzyskamy w ciągu kilku do kilkudziesięciu
godzin wnikanie do półprzewodnika typu p i całkowita kompensację nośników
nawet do bardzo dużej głębokości.
Zalety licznika półprzewodnikowego:
-
duża energetyczna zdolność rozdzielcza – energia
na wytworzenie jednej pary elektron-dziura dla germanu jest równa 2.9eV
(około 10 razy mniej niż dla pary jonów w gazie wypełniającym komorę jonizacyjną);
-
liniowa i niezależna od wartości energii i
rodzaju cząstki zależność amplitudy impulsu od energii
-
dobra czasowa zdolność rozdzielcza
-
zwiększona czułość na promieniowanie g
półprzewodnikowych detektorów germanowych
-
małe rozmiary
POMIAR ENERGII FOTONÓW
Jedną z najważniejszych wielkości charakteryzujących
promieniowanie jest energia cząstek. Metodami jej pomiaru zajmuje się dział
fizyki jądrowej – spektrometria jądrowa. Posługujemy się przy tym bądź
zależnością oddziaływania promieniowania z materią od energii bądź też
działaniem na to promieniowanie pól elektrycznych lub magnetycznych.
Metoda pomiaru długości
fali
Najstarszą metodą pomiaru energii wysokoenergetycznych
kwantów promieniowania elektromagnetycznego jest dyfrakcyjna metoda pomiaru
odpowiadających im długości fali, zastosowana przez Lauego dla promieni
X. Przy odbiciu promieniowania X od płaszczyzn atomowych regularnej przestrzennej
sieci krystalicznej uzyskujemy w wyniku interferencji tych odbitych promieni
maksima natężenia pod kątami q
określonymi wzorem Bragga:
d – stała siatki krystalicznej, czyli odległość
płaszczyzn atomowych
n – liczbę całkowitą określająca rząd
widma
l- długość
fali promieniowania związana z energią związkiem:

Dla promieniowania g o
energiach rzędu 100keV, czyli długości fali rzędu 10-11m,
otrzymujemy dla spotykanych stałych siatki rzędu 10-10m
bardzo mały kąt ugięcia, około 3°
. Stanowi to poważną trudność w stosowaniu metody dyfrakcyjnej do promieni
g
o energiach większych od 100keV. To właśnie było przyczyna , że metoda
ta była zastosowana z powodzeniem do spektrometrii promieni g
dopiero
w roku 1947 przez Du Monda.
Spektrometry dyfrakcyjne promieni g stosowane
były zasadniczo w dwu układach:
-
spektrometr z płaskim kryształem – ugięcie
następuje na płaszczyznach atomowych płaskiego kryształu. Dla powiększenia
natężenia stosuje się przy tym źródło rozciągłe, definiując dokładnie kierunek
za pomocą bardzo wąskich szczelin (rys. a). Długość fali promieniowania
dającego maksimum dyfrakcyjne w detektorze umieszczonym za układem szczelin
jest określona przez kąt między płaszczyznami kryształu a kierunkiem określonym
przez kolimator. Spektrometry takie odznaczają się stosunkowo dużą transmisją
i niezbyt dobrą zdolnością rozdzielczą wynoszącą około 0,6% dla 10 0keV
a 6% dla 1MeV. Zastosowanie dwu kryształów pozwala na znaczne polepszenie
zdolności rozdzielczej (rys. b) – przy
energii 1MeV nawet rzędu 10-5.
Niestety wydajność tych przyrządów jest bardzo mała, tak że nadają się
one do pomiarów tylko przy użyciu bardzo silnych źródeł.
-
spektrometr z wygiętym kryształem:
-
typu Du Monda – liniowe źródło promieni g
poruszać się może po okręgu o promieniu R, na którego przeciwnej stronie
umieszczamy kryształ o płaszczyznach odbijających, prostopadłych do jego
powierzchni, wygięty według łuku o promieniu 2R (rys a). Gdy źródło umieszczone
zostanie na okręgu w punkcie odpowiadającym
warunkowi Bragga, nastąpi wzmocnienie natężenia za kryształem, przy czym
promienie ugięte przebiegają tak, jakby wychodziły z punktu S’ położonego
na okręgu symetrycznie do położenia źródła w stosunku do średnicy przechodzącej
przez kryształ. Aby nie obserwować
promieni docierających bezpośrednio ze źródła, detektor umieszcza się za
kolimatorem o bardzo wąskich szczelinach, dobrze określającym kąt ugięcia.
Przy ruchu źródła po okręgu musimy synchronicznie skręcać również i kolimator,
celem zmiany kąta dyfrakcji i naprowadzania
coraz to innych długości fali. W takim spektrometrze uzyskuje się zdolności
rozdzielcze rzędu 10-4 przy
energii poniżej 0.5MeV.
-
spektrometr Cauchois – rozciągłe źródło promieni
gumieszczamy
w miejscu detektora w spektrometrze Du Monda,
a w różnych miejscach okręgu, odpowiadających warunkowi Bragga, otrzymujemy
zogniskowane promienie g
o różnej energii (rys b). Dzięki temu unikamy ruchów kolimatora i możemy
na kole ogniskowym obserwować równocześnie większy obszar widma. Przy średnicy
koła 2m uzyskano zdolności rozdzielcze rzędu 10-3
nawet dla energii przekraczających 2MeV.
Metoda absorpcyjna
Jest to najprostsza metoda pomiaru energii kwantów promieniowania g,
gdy nie jest wymagana zbyt duża dokładność (rzędu 10%) i gdy mamy jedna
lub co najwyżej dwie odległe linie w widmie g
. Natężenie promieniowania g
po przejściu przez absorbent o grubości x wynosi:
Zależność współczynnika absorpcji m
od
energii promieni gmoże
być wykorzystana do pomiaru tej energii. Do dokładniejszego wyznaczenia
energii mogą być w pewnych przypadkach, przy stosunkowo niskich energiach
kwantów g
wykorzystane ostre krawędzie absorpcyjne w krzywej absorpcji zachodzącej
przez zjawisko fotoelektryczne.
Spektrometry magnetyczne
z konwersją zewnętrzną
Jest to metoda ściągnięta ze spektometrii
cząstek b
, tzn. mierząc energie elektronów bądź to wysyłanych w wyniku konwersji
wewnętrznej bądź też wytworzone przez te promienie w wyniku zjawiska fotoelektrycznego,
zjawiska Comptona lub tworzenia par w materiale zwanym konwerterem. Energia
wytworzonych elektronów zależy od zjawiska w wyniku którego są one emitowane.
Mierzymy ją najczęściej za pomocą spektrometru magnetycznego promieni b
. Typ użytego spektrometru zależy przy tym od stawianych wymagań. Do pomiarów
wymagających dobrej zdolności rozdzielczej wybierzemy spektrometr z płaskim
polem, natomiast tam gdzie zależy nam na dużej wydajności pomiaru przy
niewielkiej zdolności rozdzielczej (rzędu kilku procent) zastosować możemy
spektrometr soczewkowy.
Ze względu na silna zależność przekroju
czynnego na wytwarzanie elektronów od liczby atomowej konwertera Z, wybieramy
materiały o dużej wartości Z (ołów, uran). Wydajność konwertera wzrastać
będzie oczywiście z jego grubością.
Dla dużych energii kwantów promieniowania
g
przekraczających
znacznie 1 MeV wykorzystać można konwersję w wyniku tworzenia par. Przykład
stosowanego spektrometru pokazuje poniższy rysunek.

Dzięki powyższemu związkowi w spektrometrze
par możemy stosować rozciągły konwerter a elektrony wytworzone w dowolnym
jego punkcie przez kwanty g
o określonej energii dotrą do pracujących w koincydencji liczników umieszczonych
w odległości 2r od siebie. Zwykle dla powiększenia świetlności tego spektrometru
stosujemy kilka liczników z każdej strony pracujących parami. Wydajność
tego typu spektrometru jest bardzo mała i wynosi około 10-8
dla energii kwantów g w
pobliżu 5 MeV.
Spektrometria scyntylacyjna
Szerokie zastosowanie detektorów scyntylacyjnych jako spektrometrów promieniowania
gstało
się możliwe dzięki dużym monokryształom NaJ(Tl) oraz dzięki rozwojowi konstrukcji
powielaczy fotopowielaczy z okienkiem czołowym mającym dużą zdolność rozdzielczą.
Oddziaływanie kwantów g
na kryształy NaJ(Tl) odbywa się trzema już wspominanymi drogami: zjawisko
fotoelektryczne, Comptona, i tworzenia par. Dlatego też widmo impulsów
z licznika scyntylacyjnego zawierać może trzy maksima.

Opracowano w związku z tym różnego typu
spektrometry:
-
fotoelektryczny spektrometr scyntylacyjny
-
komptonowski spektrometr scyntylacyjny
-
spektrometr scyntylacyjny par.
Zdolność rozdzielcza spektrometrów zależy
od wielkości użytego kryształu. Dla kwantów g
o energii 661keV ze źródła promieniotwórczego 137Cs
wynosi dla scyntylatora NaJ(Tl) o średnicy i wysokości równej 5cm 6-8%
a przy wymiarach 10cm 8-10%. Wydajność spektrometrów zależy zarówno od
energii kwantów jak i rozmiarów kryształu oraz umieszczenia źródła w stosunku
do niego.
Spektrometry półprzewodnikowe
Najcenniejszą zaleta tych detektorów jest
ich doskonała zdolność rozdzielcza o przeszło jeden rząd wielkości lepsza
od uzyskiwanej dla liczników scyntylacyjnych, a dorównująca zdolności rozdzielczej
spektrometrów magnetycznych z konwersją zewnętrzną, przy znacznie lepszej
wydajności. Jako liczników półprzewodnikowych
używa się do celów spektrometrii promieni g
zarówno detektorów krzemowych jak i germanowych dryfowanych Li. Przy energiach
wyższych od około 30keV wydajność detektorów Si(Li) staje się zbyt niska.
Przy tych wyższych energiach do celów spektrometrii g
nadają
się lepiej liczniki Ge(Li) posiadające wyższą wydajność. Wadą ich jest
jednak to, że muszą być nie tylko używane ale i przechowywane w temperaturze
ciekłego azotu i w próżni.
Wydajność spektrometru półprzewodnikowego
zależy od objętości czynnej, w której kwanty g
mogą wytwarzać elektrony. Zasadniczą trudność przy stosowaniu przy stosowaniu
tych liczników stanowi uzyskanie dostatecznej objętości.

Powyższy schemat przedstawia widmo impulsów
licznika półprzewodnikowego Ge(Li) i spektrometru scyntylacyjnego z NaI(Tl)
eksponowanych na źródło promieniowania 60Co.
Od razu widać przewagę tego pierwszego jeśli chodzi o zdolność rozdzielczą.
Reakcje jądrowe
Przy wyższych energiach kwantów g
można się posłużyć do pomiaru ich energii reakcjami fotojądrowymi tzn.
reakcjami jądrowymi wytwarzanymi przez te promienie. Mierząc energie cząstek
emitowanych w wyniku reakcji i znając energię reakcji wyznaczyć możemy
z bilansu energetycznego energię cząstki bombardującej (g)
.
Literatura:
A.Strzałkowski “Wstęp do fizyki jądra atomowego”
W.J.Price “Detekcja promieniowania jądrowego”
J.B.England “Metody doświadczalne fizyki
jądrowej”
J.Araminowicz, K.Małuszyńska , M.Przytuła
“Laboratorium fizyki jądrowej”
J.Massalski “Fizyka dla inżynierów” cz.II
“Fizyka współczesna”
I.W.Sawieliew “Wykłady z fizyki” t.3